Cita: 

Cousins, Ian et al. [2022], "Outside the Safe Operating Space of a New Planetary Boundary for Per- and Polyfluoroalkyl Substances (PFAS)", Environmental Science & Technology,https://doi.org/10.1021/acs.est.2c02765

Fuente: 
Otra
Fecha de publicación: 
2022
Tema: 
Se propone que un nuevo límite planetario ha sido traspasado debido a la contaminación de sustancias químicas altamente persistentes en el ambiente.
Idea principal: 

Ian Curtis estudió Química en la Universidad de York, tiene una maestría en Gestión Ambiental y un doctorado de la Universidad Lancaster. Su línea de investigación se enfoca en la experimentación y modelación de las fuentes, transporte, destino y exposición de los contaminantes. Recientemente se ha centrado en las sustancias perfluoroalquiladas y polifluoradas (PFAS).


Introducción

Un artículo reciente de la revista Science señala su preocupación por la amenaza global que implica la contaminación por plásticos, específicamente debido a su baja reversibilidad y los efectos potenciales que trae consigo. No obstante, otras publicaciones han externado inquietudes similares en torno a otras sustancias no poliméricas. En este sentido, a pesar de que el foco de atención y las preocupaciones públicas se centran en los plásticos, las sustancias no poliméricas altamente persistentes podrían generar problemas globales similares o incluso más graves debido a que la persistencia puede producir exposición a largo plazo y una acumulación cada vez mayor conforme las emisiones aumentan.

Por otro lado, debido a que se desconoce la cantidad de químicos liberados al ambiente, se requiere una gestión precautoria de estas sustancias, por ejemplo, el reporte Late Lessons from Early Warnings narra ejemplos de contaminación global comúnmente asociados a químicos persistentes. En este sentido, un grupo de químicos contaminantes son las sustancias perfluoroalquiladas y polifluoroalquiladas (PFAS, por sus siglas en inglés), las cuales son altamente persistentes y se considera que su exposición es irreversible, por consiguiente, debido a sus efectos biológicos asociados, los autores de este artículo proponen que un nuevo límite planetario para PFAS ha sido sobrepasado.

A pesar de que existen miles de PFAS, los estudios sobre los impactos biológicos de estas sustancias se han enfocado solamente en cuatro: ácido perfluorooctanosulfónico (PFOS), ácido perfluorooctanoico (PFOA), ácido perfluorohexanosulfónico (PFHxS) y ácido perfluorononanoico (PFNA). Las clasificaciones se pueden hacer de acuerdo con su persistencia en el ambiente, pero no por los daños biológicos debido a la escasez de datos sobre exposición y efectos relacionados a los PFAS, por lo que no se puede hacer un análisis estadístico confiable.

Por su parte, la contaminación química fue definida como uno de los nueve límites planetarios originales, debido a que puede alterar el funcionamiento del Sistema Terrestre, afecta el desarrollo y demografía de las poblaciones, así como el funcionamiento y estructura de los ecosistemas. Respecto a este límite planetario, Steffen et al. acuñó el término “nuevas entidades” (NE por sus siglas en inglés) para referirse a estas sustancias como químicos desarrollados por los seres humanos o a elementos naturales movilizados por las actividades humanas. Para cuantificar estas entidades se propone utilizar varias variables de control para determinar si el límite es excedido. Cabe resaltar que también existen grandes huecos de información. Por otro lado, es relevante tener en cuenta que varias de estas NEs están asociadas a otros límites planetarios, como el cambio climático o el agujero de la capa de ozono. A este respecto, se argumenta que los PFAS definen un nuevo límite planetario para las NEs, pues representan una amenaza real a la salud global.

Los valores límites de PFOS y PFOA que propone la Agencia de Protección Ambiental de Estados Unidos (EPA por sus siglas en inglés) son más bajos que los niveles presentes en el agua de lluvia. De igual forma, el valor límite danés de la suma de los cuatro PFAAS para agua potable también es menor que los niveles presentes en el agua de lluvia

En junio de 2022 la EPA publicó una serie de consejos de salud que incluyen los relacionados con la presencia de PFOA y PFOS en el agua potable (dato crucial 1). Los valores que propone la EPA son mucho más bajos a los cuales ya se presentan efectos adversos, asimismo, están basados en estudios epidemiológicos hechos en poblaciones expuestas a estos químicos. No obstante, se ha encontrado que el efecto no cancerígeno más destacado es la supresión de la respuesta a las vacunas en niños.

Por otro lado, en 2020 la Autoridad Europea de Seguridad Alimentaria (EFSA, por sus siglas en inglés) publicó su Opinión sobre los riesgos asociados a la presencia de PFAS en la comida y propuso un valor de ingesta tolerable semanal (TWI por sus siglas en inglés) de 4.4 nanogramos por kilogramo, de igual forma, en esta evaluación se llegó a la conclusión de que el riesgo más crítico son los efectos en el sistema inmunológico.

Las pautas de los niveles de PFAS en agua potable han disminuido con los años, la Agencia de Protección Ambiental Danesa redujo sus límites y ahora el agua potable no debe contener más de 2 nanogramos por litro de PFAS. Debido a estos ajustes ahora el agua potable tiene igual o incluso menor concentración de PFAS que la de precipitación, no obstante, en algunas regiones del mundo áridas y tropicales la lluvia sigue siento una fuente de abastecimiento de agua.

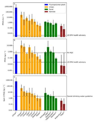
En la figura del dato crucial 2 los niveles de PFAS en el agua de lluvia son comparados con los límites propuestos por Dinamarca y la EPA. Esta gráfica muestra los niveles de PFOA, PFOS y la suma de los cuatro PFAS en diferentes regiones del mundo. En todas las regiones se rebasa el límite de PFOAS propuesto por la EPA, el nivel de PFOS solo no es rebasado en regiones remotas (Tibet y Antártida), y el límite danés de la suma de PFAS también se rebasa en todas las regiones. Por otro lado, en Suecia hicieron un mapeo nacional de PFAS de agua cruda y potable a nivel municipal, se encontró que más de la mitad del agua potable contiene concentraciones mayores a 5 nanogramos por litro de PFAS. Cabe destacar que el límite sueco era de 90 nanogramos por litro basado en la Opinión de EFSA de 2008, no obstante, se redujo a 4 nanogramos por litro en 2020 con la actualización de dicha Opinión.

Por otro lado, los límites que propone la EPA no son regulatorios, por lo que demostrar su cumplimiento sería un reto debido a la escasez de métodos analíticos que detecten niveles de PFOA por debajo de 4 picogramos por litro en agua potable. No obstante, no sería imposible, pues se ha hecho con muestras de agua del océano, aunque se requerirían muestras de mayor volumen y estar lo menos contaminadas posible.

El estándar de calidad de la Unión Europea para PFOS en agua dulce es menor que para agua de lluvia

En 2010 el Instituto Nacional de Salud Pública y Medio Ambiente (RIVM, por sus siglas en neerlandés) de Holanda desarrolló el Índice de Concentración Permisible Máxima (MCP, por sus siglas en inglés), con el que determinó un límite de 0.65 nanogramos por litro de PFOS en agua dulce. Posteriormente, en 2013 estos químicos fueron catalogados como “Sustancias Peligrosas Prioritarias” por la Directiva Marco del Agua (WFD, por sus siglas en inglés). De igual forma, se establecieron los Estándares de Calidad Ambiental (EQS, por sus siglas en inglés) para PFOS, además se determinó que el promedio anual del estándar de calidad ambiental de la Unión Europea (AA-EQS, por sus siglas en inglés) para aguas epicontinentales sería de 0.65 nanogramos por litro, siguiendo el ejemplo de RIVM.

Por otro, los niveles de EQS no solo son excedidos en cuerpos de agua dulce, sino también en la lluvia, lo que resulta en una deposición atmosférica muy extendida, sobre todo en regiones altamente pobladas.

Las pautas holandesas para PFAS en suelos y material de dragado fueron imposibles de aplicar debido a la ubiquidad de estas sustancias en la deposición atmosférica

En los Países Bajos determinaron que el suelo y el material dragado no debería contener más de 0.1 microgramos por kilo seco de PFOA o PFOS, en este sentido, 70% de los proyectos que involucran remoción de suelo y relleno fueron detenidos. No obstante, diversos estudios han demostrado que es prácticamente imposible lograr los niveles holandeses pues, la gran mayoría de los suelos del mundo tienen cierto nivel de contaminación por PFAS debido a su ubiquidad.

El ciclo de PFAS en la hidrósfera significa que los niveles de PFAS en la lluvia serán prácticamente irreversibles

Hasta hace poco se creía que los PFAS eventualmente se disolverían en el océano, no obstante, se ha descubierto que los aerosoles y la atmósfera costera están particularmente enriquecidos de estas sustancias, las cuales podrían depositarse en cuerpos de agua dulce y suelos superficiales. En este sentido, el ciclado constante de los PFAS en la hidrósfera conducirá al rebasamiento constante de los límites antes mencionados, lo cual es especialmente preocupantes pues, éstos están basados en sus efectos biológicos. Asimismo, las pautas están determinadas con base en cuatro de la infinidad de sustancias que componen la clase PFAS, y no hay evidencia científica de que la exposición o las concentraciones vaya a disminuir.

Discusión

Los PFAS son un problema de límites planetarios por múltiples razones: la escala de difusión de estas sustancias es global, sus efectos apenas están empezando a ser estudiados y prácticamente irreversibles. Por otro lado, debido a la falta de información, resulta imposible hacer una evaluación completa de la amenaza que representan. A pesar de que solo se han estudiado cuatro tipos de PFAS por muestras de agua dulce, lluvia y suelos, se sabe que en zonas habitadas por humanos los límites de PFAS se han excedido.

Debido a su alta persistencia, a pesar de que se han hecho reducciones a estas sustancias, continúan en el ambiente y se ciclan continuamente en la hidrósfera. Por su parte, el análisis de los autores no pretende definir cuál es la mejor guía de medición de PFAS, sino resaltar que los parámetros de aquellas basadas en los riesgos a la salud están muy por debajo de los niveles presentes en el ambiente. De hecho, incluso en las zonas más remotas, los parámetros más estrictos también son rebasados.

Además, en muchos casos, los impactos relacionados con los PFAS ocurren a la par de otros problemas ambientales como escasez de agua y contaminación por otras sustancias. Finalmente, los autores proponen que los PFAS definen un nuevo límite planetario que ha sido transgredido, asimismo, consideran que los cuatro PFAS estudiados son solo la punta del iceberg, pues hay otras miles de sustancias de este tipo que son desconocidas. Por tales motivos, resulta fundamental evitar que la situación escale más y restringir el uso de PFAS lo antes posible.

Datos cruciales: 

1. En junio de 2022 la EPA propuso un límite de concentración de 4 picogramos por litro para PFOA y 20 picogramos por litro para PFOS, mucho más bajo que los niveles previamente establecidos.

2.

Nexo con el tema que estudiamos: 

El estudio de la contaminación por sustancias químicas parece ser exclusivo del campo de la ciencia, evidentemente el procesamiento y modelado de datos recae en los científicos, sin embargo, lo verdaderamente crucial radica en qué se decida hacer con la información obtenida en las investigaciones. En este sentido, el papel de la sociedad y los gobiernos, así como de las empresas, en la gestión de contaminantes persistentes resulta clave para lograr aplicar esfuerzos eficientes en la mitigación y reducción de concentraciones peligrosas para la salud pública, que pueden ser incluso letales.